Studying exoplanets. Learning markets. Writing it down.
I'm Nikola Knežević, a gymnasium student at Kantonsschule Zofingen finishing this summer, and a part-time research intern at the Center for Space Research & Habitability in Bern, working on the characterisation of transiting exoplanets around M dwarfs. My spare hours go to quantitative finance, Bayesian statistics, and the odd trip somewhere far from home. Based in Aarburg, Switzerland.
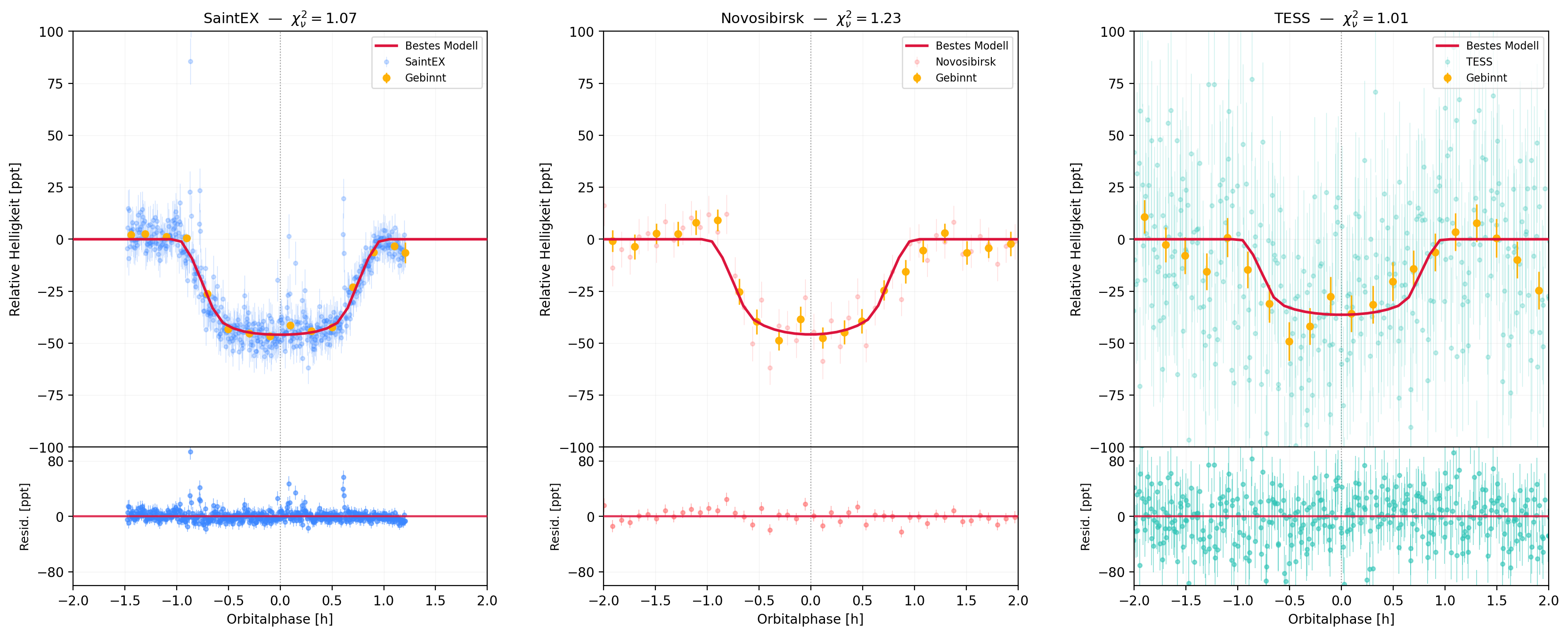
Artist's impression of a warm Jupiter orbiting its host star, the kind of system at the heart of my Matura thesis.






